Fájl:Ibogamin.svg

Innen: kémia
A lap korábbi változatát látod, amilyen Laci (vitalap | szerkesztései) 2020. augusztus 3., 17:30-kor történt szerkesztése után volt.
(eltér) ← Régebbi változat | Aktuális változat (eltér) | Újabb változat→ (eltér)
Ugrás a navigációhoz Ugrás a kereséshez

Eredeti fájl(SVG fájl, névlegesen 238 × 303 képpont, fájlméret: 23 KB)

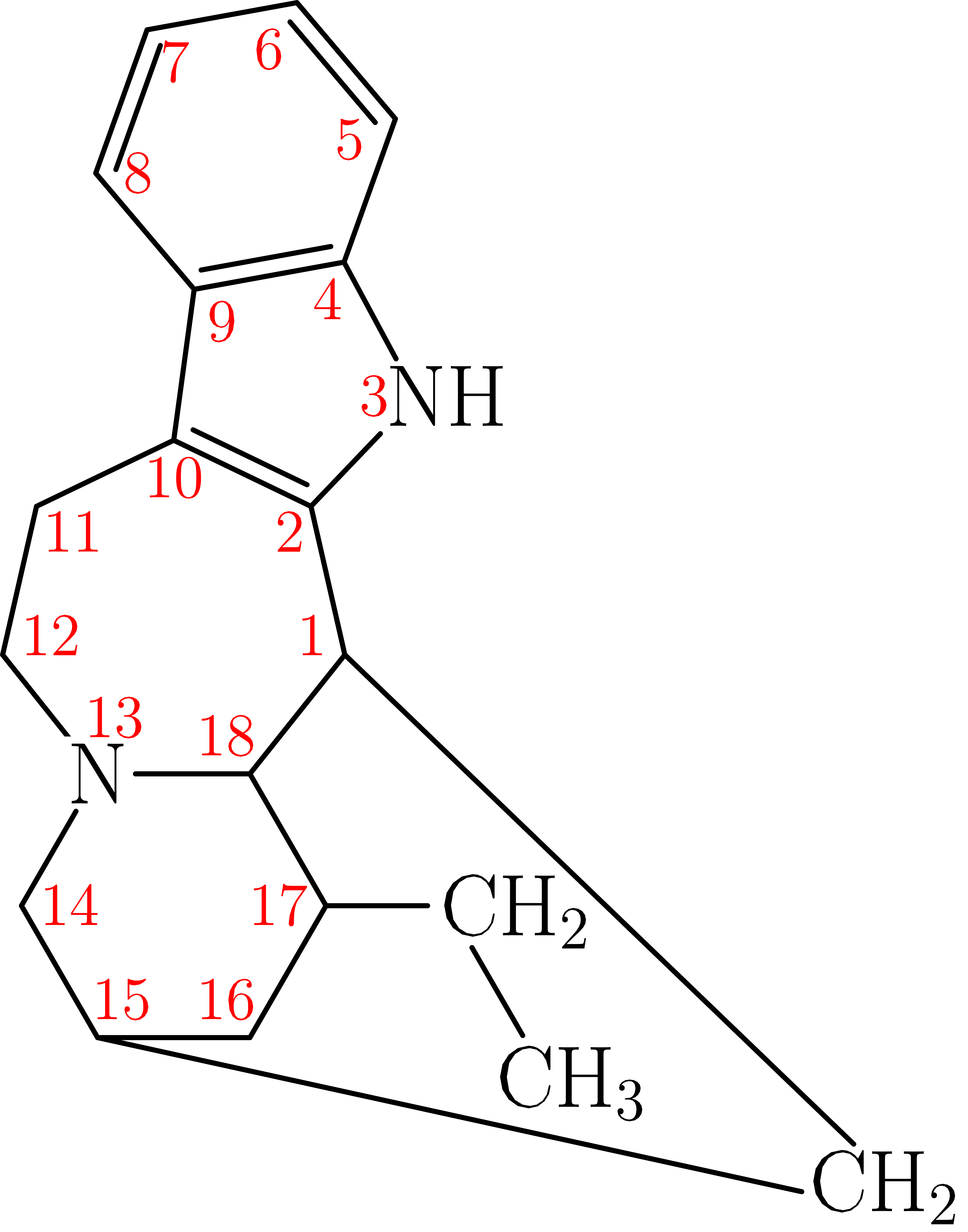
IUPAC-név 17-Etil-3,13-diazapentaciklo[13.3.1.02,10.04,9.013,18]nonadeka-2(10),4(9),5,7-tetraén
Összegképlet C19H24N2
Enwiki Ibogamine
SMILES CC[C@H]1C[C@@H]2C[C@@H]3[C@H]1N(C2)CCc4c3[nH]c5c4cccc5

Fájltörténet

Kattints egy időpontra, hogy a fájl akkori állapotát láthasd.

Dátum/időBélyegképFelbontásFeltöltőMegjegyzés
aktuális2020. augusztus 3., 15:44Bélyegkép a 2020. augusztus 3., 15:44-kori változatról238 × 303 (23 KB)Laci (vitalap | szerkesztései)

Az alábbi lap használja ezt a fájlt:

Metaadatok