Fájl:12-Metoxiibogamin.svg

Innen: kémia
A lap korábbi változatát látod, amilyen Laci (vitalap | szerkesztései) 2020. szeptember 18., 08:00-kor történt szerkesztése után volt.
(eltér) ← Régebbi változat | Aktuális változat (eltér) | Újabb változat→ (eltér)
Ugrás a navigációhoz Ugrás a kereséshez

Eredeti fájl(SVG fájl, névlegesen 305 × 333 képpont, fájlméret: 24 KB)

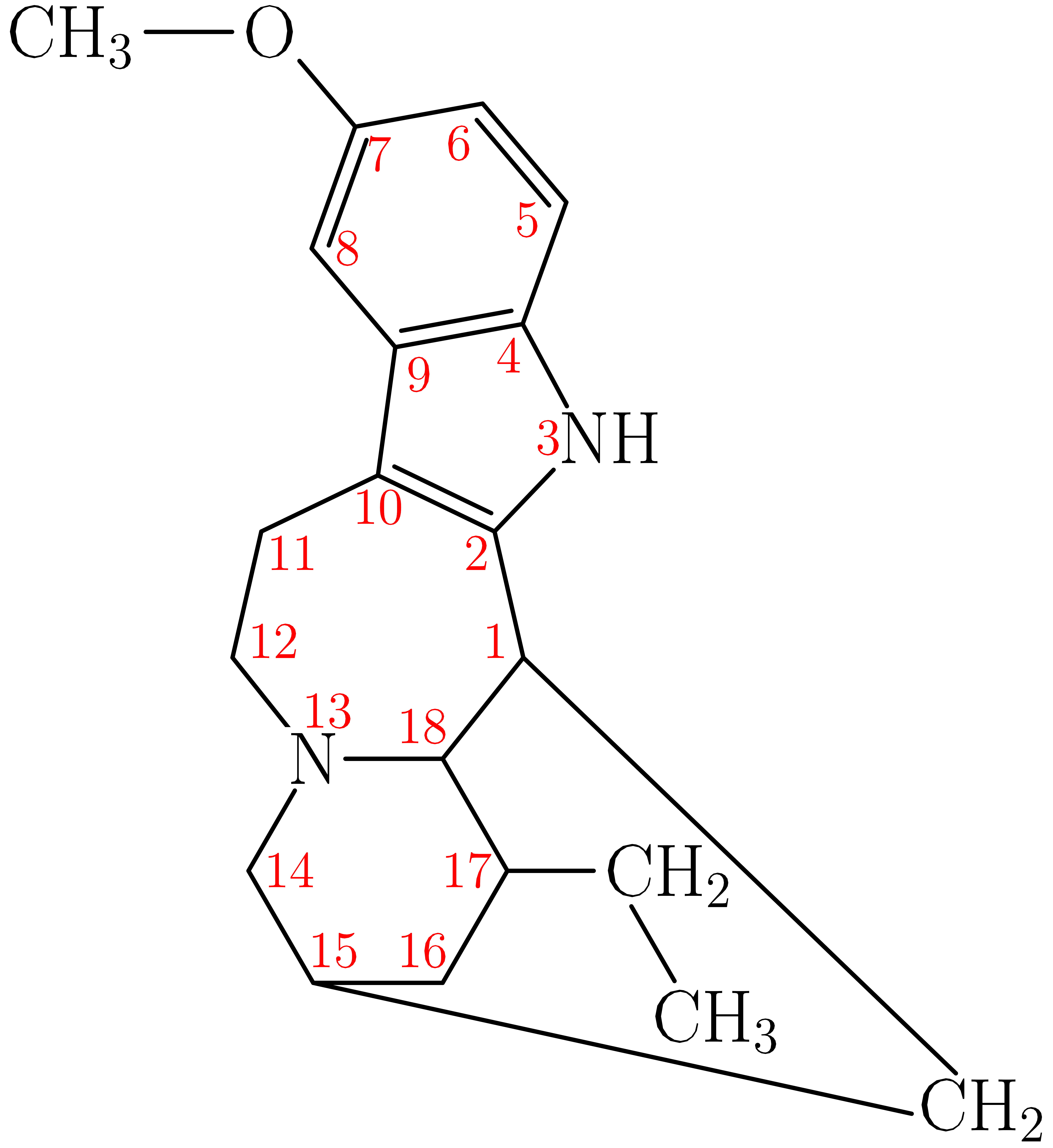
IUPAC-név 17-etil-7-metoxi-3,13-diazapentaciklo[13.3.1.02,10.04,9.013,18]nonadeka-2(10),4(9),5,7-tetraén
Összegképlet C20H26N2O
Huwiki Ibogain
SMILES CCC1CC2CC3C1N(C2) CCC4=C3NC5=C4C=C(C=C5)OC

Fájltörténet

Kattints egy időpontra, hogy a fájl akkori állapotát láthasd.

Dátum/időBélyegképFelbontásFeltöltőMegjegyzés
aktuális2020. augusztus 3., 17:18Bélyegkép a 2020. augusztus 3., 17:18-kori változatról305 × 333 (24 KB)Laci (vitalap | szerkesztései)

Az alábbi lap használja ezt a fájlt:

Metaadatok